An electrical signal can contain many frequencies. Some are integer multiplies of the fundamental (referred to as harmonics) and some are non-integer multiplies (referred to as interharmonics). The IEC 61000-4-30 standard defines an interharmonic frequency as “any frequency which is not an integer multiple of the fundamental frequency” [2], and includes frequencies lower than the fundamental, known as subharmonic frequencies.
Subgroups
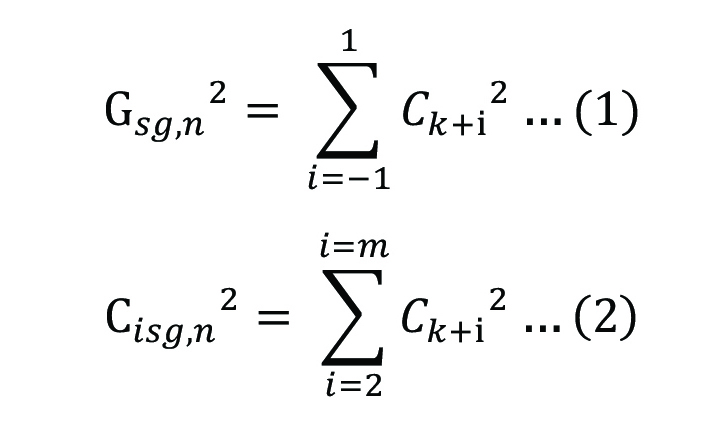
The IEC 61000-4-7 [1] defines how instruments calculate the Root Mean Square (RMS) for both interharmonics and harmonics of a signal in a power system using the Discrete Fourier Transform (DFT); and requires a window size of 10 cycles for 50Hz and 12 cycles for 60Hz systems. The DFT produces a spectrum of frequency bands (bins) of 5Hz spacing as shown in Figure 1.